
The PL-DFB-980-B-A81 980nm DFB laser diode module made by LD-PD is a cost effec-tive, highly coherent laser source. The DFB laser diode chip is packaged in an indus-try standard hermetically sealed 14 pin butterfly package with TEC and PD Built in.
Product model
| 980nm DFB PM Laser diode |
PL-DFB-980-B-A81-PA | Central wavelength 980nm, Output power 40 - 60mW, Narrow Linewidth < 2MHz, Tolerance ±1nm, PM980 Fiber, FC/APC | Central wavelength: 980nm Output power: 50mW Package: 14pin - BF |
| 980nm DFB SM Laser diode |
PL-DFB-980-B-A81-SA | Central wavelength 980nm, Output power 40 - 60mW, Narrow Linewidth < 2MHz, Tolerance ±1nm, HI1060, FC/APC | Central wavelength: 980nm Output power: 50mW Package: 14pin - BF |
Parameter
Features
● Narrow Linewidth < 2MHz
● Excellent wavelength control and stability
● Industry Standard 14 pin Butterfly package
● Mode-Hop free tuning
● Excellant reliability
● Customer specific wavelengths available
Laser Specifications
Electrical/Optical Characteristics(Tsub=25°C, CW bias unless stated otherwise)
Parameter | Symbol | Min | Typ | Max | Unit |
Centre Wavelength | λ | 979 | 980 | 981 | nm |
Side Mode Suppression Ratio | SMSR | 30 | 40 |
| dB |
Threshold Current | Ith |
| 20 | 30 | mA |
Operating Current | Iop |
| 120 | 150 | mA |
Chip output Power | Pf | 40 | 50 | 60 | mW |
Quantum Efficiency | η | 0.08 | 0.12 |
| mW/mA |
Current Tuning Coefficient | ∆λ/∆I |
| 0.015 |
| nm/mA |
Temperature Tuning Coefficient | ∆λ/∆T |
| 0.12 |
| nm/K |
Forward Voltage | Vf |
| 1.3 | 2 | V |
Thermistor Resistance | RT | 9.5 | 10 | 10.5 | KΩ |
Thermistor Temp. Coefficient |
|
| -4.4 |
| %/°C |
Connector | FC/APC |
Spectrum

Tuning Characteristics

DFB Linewidth Testing Result

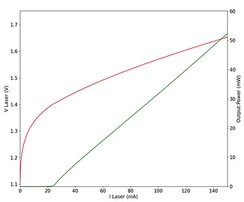
L-I Curve

Wavelength Stability Test Result

Mode Hope Free Tuning Range

Beam Quality

2D

3D
Rin Level Test Results

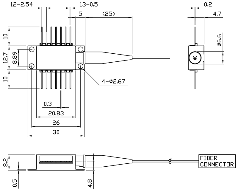
Package Size

Pin definition

1 | Thermoelectric Cooler (+) | 8 | N/C |
2 | Thermistor | 9 | N/C |
3 | PD Monitor Anode (-) | 10 | Laser Anode (+) |
4 | PD Monitor Cathode (+) | 11 | Laser Cathode (–) |
5 | Thermistor | 12 | N/C |
6 | N/C | 13 | Case Ground |
7 | N/C | 14 | Thermoelectric Cooler (–) |
Absolute Maximum Ratings
Item | Unit | Min | Typ | Max |
Case Temperature | ℃ | -5 | 25 | 70 |
Chip Temperature | ℃ | +10 | 25 | 40 |
Operating Current | mA | 0 | 180 | 250 |
Forward Voltage | V | 0.8 | 1.2 | 2.1 |
TEC Current | A | - | 1.2 | 1.2 |
Reverse Voltage(LD) | V | - | - | 2.0 |
Reverse Voltage(PD) | V | - | - | 20 |
Application
● Tunable diode laser absorption spectroscopy
● Seed laser
● Fiber laser
Ordering Info
PL-DFB- □□□□-☆-A8▽- XX
□□□□: Wavelength
972.4: 972.4nm
1030: 1030nm
1532: 1532nm
1392: 1392nm
1512: 1512nm
1567: 1567nm
*****
1653.7: 1653.7nm
☆ : Output Power
A: 20-40mW
B: 40-60mW
▽: Wavelength Tolerance
1: ±1nm
2: ±2nm
XX: Fiber and Connector Type
SA=HI1060+ FC/APC
SP=HI1060+ FC/PC
PA=PM980 Fiber+ FC/APC
PP=PM980 Fiber+ FC/PC
The PL-DFB-980-B-A81 980nm DFB laser diode module made by LD-PD is a cost effec-tive, highly coherent laser source. The DFB laser diode chip is packaged in an indus-try standard hermetically sealed 14 pin butterfly package with TEC and PD Built in.
Product model
PL-DFB-980-B-A81-PACentral wavelength: 980nm
Output power: 50mW
Package: 14pin - BF
PL-DFB-980-B-A81-SACentral wavelength: 980nm
Output power: 50mW
Package: 14pin - BF
Parameter
● Narrow Linewidth < 2MHz
● Excellent wavelength control and stability
● Industry Standard 14 pin Butterfly package
● Mode-Hop free tuning
● Excellant reliability
● Customer specific wavelengths available
Electrical/Optical Characteristics(Tsub=25°C, CW bias unless stated otherwise)
Parameter
Symbol
Min
Typ
Max
Unit
Centre Wavelength
λ
979
980
981
nm
Side Mode Suppression Ratio
SMSR
30
40
dB
Threshold Current
Ith
20
30
mA
Operating Current
Iop
120
150
mA
Chip output Power
Pf
40
50
60
mW
Quantum Efficiency
η
0.08
0.12
mW/mA
Current Tuning Coefficient
∆λ/∆I
0.015
nm/mA
Temperature Tuning Coefficient
∆λ/∆T
0.12
nm/K
Forward Voltage
Vf
1.3
2
V
Thermistor Resistance
RT
9.5
10
10.5
KΩ
Thermistor Temp. Coefficient
-4.4
%/°C
Connector
FC/APC
Spectrum
Tuning Characteristics
DFB Linewidth Testing Result
L-I Curve
Wavelength Stability Test Result
Mode Hope Free Tuning Range
Beam Quality
2D
3D
Rin Level Test Results
1
Thermoelectric Cooler (+)
8
N/C
2
Thermistor
9
N/C
3
PD Monitor Anode (-)
10
Laser Anode (+)
4
PD Monitor Cathode (+)
11
Laser Cathode (–)
5
Thermistor
12
N/C
6
N/C
13
Case Ground
7
N/C
14
Thermoelectric Cooler (–)
Absolute Maximum Ratings
Item
Unit
Min
Typ
Max
Case Temperature
℃
-5
25
70
Chip Temperature
℃
+10
25
40
Operating Current
mA
0
180
250
Forward Voltage
V
0.8
1.2
2.1
TEC Current
A
-
1.2
1.2
Reverse Voltage(LD)
V
-
-
2.0
Reverse Voltage(PD)
V
-
-
20
● Tunable diode laser absorption spectroscopy
● Seed laser
● Fiber laser
PL-DFB- □□□□-☆-A8▽- XX
□□□□: Wavelength
972.4: 972.4nm
1030: 1030nm
1532: 1532nm
1392: 1392nm
1512: 1512nm
1567: 1567nm
*****
1653.7: 1653.7nm
☆ : Output Power
A: 20-40mW
B: 40-60mW
▽: Wavelength Tolerance
1: ±1nm
2: ±2nm
XX: Fiber and Connector Type
SA=HI1060+ FC/APC
SP=HI1060+ FC/PC
PA=PM980 Fiber+ FC/APC
PP=PM980 Fiber+ FC/PC